加工中心內螺紋的加工手段
1 . 1 絲錐攻絲加工技術手段
絲 錐 加 工 技術手段是一種較為傳統的內螺紋加工方式, 其主要的加工程序便是在加 工 的 過 程 中 , 先 加工出螺紋的底孔, 隨后利用絲錐攻出內螺紋的一種加工 手 段 。 絲錐加工手段作為 一種高效的加工手段 , 主要分為手動攻絲和機動攻絲兩種形式[ 1 ] 。 機 動 攻 絲 是在數控機床的基礎上, 開展的攻絲 技 術 , 并 且 在 當 前機床加工中使用的頻率相對較高。 相 比 之 下 , 傳 統 手工攻絲技術中, 存在一定的弊端。 在手工攻絲的過程中, 切屑的狀態很難控制, 切屑也很難順利的排出。 此外, 若手動操作中存在問題, 那么便會導致加工表現被劃傷。 此外, 手工攻絲也容易造成螺紋孔徑過大、 折損的現象, 并且其效率相對較低。
1 . 2 其他攻絲加工技術
除 了 傳 統 的絲錐攻絲技術之外 , 還研發出了擠壓攻絲技術和高速攻絲技術, 對傳統絲錐攻絲技術帶來了 一 定 的 沖 擊 。 但 是 不 同 攻 絲技術的利弊也是不同的, 在實際選擇攻絲技術的過程中 , 還需要結合不同技術的實際利弊開展螺紋攻絲。
針 對 擠 壓 攻 絲 技 術 來 說 , 其主要的原理便是利用金屬材質受力之后容易發生 塑性變形和流動性的特點 , 在 螺 紋 制 作 的 過 程 中 , 會 在 底 孔 上 , 通 過 擠 壓 攻絲技術, 促使金屬出現加工螺紋。 但是擠壓攻絲技術相比傳統的絲錐攻絲技術來說, 具有高效的優勢[ 2 ] 。 不僅自身的實際質量過硬, 并且精確度 也 相 對 較 高 , 不 容易發生形變。 但是擠壓攻絲技術有 所 弊 端 , 很 難 加工脆性的材質, 并且當前擠壓攻絲技術在業界并沒有統一 的 標 準 , 需要機床加工企 業結合自身的實際需求 , 進行擠壓攻絲設計, 這也造成了擠壓攻絲技術的局限性。
針 對 高 速 攻 絲 技 術 來 說 , 是在我國機械技術不斷發展的前提上引申出的一種新型的 攻 絲 技 術 。 攻 絲 技術為螺紋加工帶來了新的機遇 , 其實際效率相對較 高 。 高速攻絲的技術要點內 容便是高速的絲錐攻絲 , 充分的利用了高速螺旋插補技術和人工擠壓切削來實現快速攻絲。 高速攻絲技術和傳統攻絲技術都是在絲錐攻絲技術基礎上不斷進步與發展 的 攻 絲 技 術 。 當 前絲錐攻絲技術的尺寸和類型有所限 制 , 并 且 很 少 能 夠生產出直徑大于 30mm 的 絲 錐 , 這也導致了快 速 攻 絲技術的發展局限性。 此外, 快速攻絲技術在使用的范圍內, 更加要適應于較小螺紋, 很難滿足不同行業的實際需求。
2 內螺紋銑削刀的類型
2 . 1 梳形內螺紋銑削刀
梳形內螺紋銑削刀是一 種相對較為常見的銑削刀, 并且在實際數控機床加工的過 程 中 , 所 運用 的 次數相對較多。 在實際開展內螺紋銑 削 的 過 程 中 , 一 般提前確定螺紋底孔, 之后將制作的工件倒立放置使得預留的底孔呈現出倒角, 將梳形內螺紋銑削刀通過退刀切向進刀的手段, 循環的針對制作的工件進行插補工作。 在循環插補之后, 將梳形內螺紋銑削刀退到至工件的中心, 并且退出工件, 這樣工件的內螺紋銑削制 作 便 完 成 。 梳形內螺紋銑 削刀在實際使用的過程中, 力度相對較強, 具有一定的高效性。
2 . 2 鉆銑內螺紋銑刀
鉆 銑 內 螺 紋銑刀是在梳形內螺紋銑刀的基礎上創新而來的新型內螺紋銑削工藝, 其主要的進步便是在傳統梳形內螺紋銑刀上添加了預鉆 的 功 能 。 鉆 銑 內 螺紋銑刀在實際開展工件制作的過程 中 , 能 夠 有 效 的 避免螺紋銑刀部門刃口參與銑削, 可以有效的降低工件銑削刀開展銑削工作的阻力, 這樣有效的避免了工件底孔的損傷現象[ 3 ] 。 此外, 鉆銑內螺紋銑刀還能夠切實的避免環境和 對 象 的 制 約 , 刀 刃 的 角 度 、 螺 距 、 直 徑 和倒角角度等內容 , 可 以 隨 著 工件加工的要求進行改變。 鉆銑內螺紋銑刀在開展加工的過程中, 首先, 鉆銑內螺紋銑刀快速的對工件進行加工 , 鉆銑內螺紋銑刀自鉆到一定的工件底孔深度的過程 中 , 鉆 銑 內 螺 紋 銑刀軸退出工件的同時, 開展工件鐵 屑 排 除 , 退 刀 至 螺紋 中 心 , 迅速的將鉆銑內螺 紋銑刀軸轉向下一個工件。 鉆銑內螺紋銑刀的效率相對較 快 , 并 且 能 夠 有 效的清除工件的鐵屑 , 不 僅 縮 短了工件加工的時間 , 而且能夠將復雜的銑削工藝進行簡化 , 滿足了工件加工的 實 際 需 求 。 但是使用鉆銑 內螺紋銑刀的過程中 , 專業要求相對較強。
2 . 3 復合內螺紋銑刀
復 合 內 螺 紋 銑刀與一上述兩種螺紋銑刀存在一定的 差 距 , 復合內螺紋銑刀的銑 削工藝在開展的過程中, 是將螺紋銑削與底孔銑削同時進 行 的 , 并 且 工 件螺紋的長度和標準, 需要依靠循環銑 削 進 行 確 定 。 在實際開展復合內螺紋銑刀運行的過程 中 , 首 先 將 復 合內螺紋銑刀靠近工件, 通過循環插補 的 形 式 , 完 成 工件底孔的確定和螺紋的銑削[ 4 ] 。 其次, 進行復合內螺紋銑刀退刀, 并且隨著復合內螺紋銑刀的軸向清理出工件 的 鐵 屑 。 最 后 , 刀具切入工件銑倒角 , 進 行 退 刀 , 完成工件加工。 復合內螺紋銑刀的實際工序便是依靠插補的形式, 進行工件加工。 在利用復合內螺紋銑刀進行加工的過程中, 加工的時間相對較 長 。 但 是 工 件 的剛性有所保障, 其實際耐用性相對較 強 , 是 一 種 效 率相對較高的銑削工藝。
3 加工中心內螺紋銑削加工工藝選擇
3 . 1 螺紋數控銑削機床選擇
螺 紋 銑 削 工 作 , 主要是利用數控機床來實現工件銑削工作的, 當數控機床編程完畢之 后 , 工 件 處 理 工序只需要螺紋銑削刀旋轉一周, 通過螺紋銑削刀的移動和清除切屑等工序, 便可以完成工 件 處 理 , 銑 削 出工件的所有螺紋 。 在 選 擇 數 控 銑削機床的過程中 , 一般需要選擇三軸聯動銑削機床。
3 . 2 內螺紋銑削刀的選擇
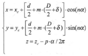
內 螺 紋 銑 削 刀 的 種 類 較 多 , 并且不同內螺紋銑削刀的利弊也有所差異。 所以在實際選擇內螺紋銑削刀的過程中, 應該結合工件處理的實際 情 況 , 選 擇 不 同的內螺紋銑削刀。 首先, 應該結合實際情況, 選擇內螺紋銑削刀的齒距, 必須要保障內螺紋銑削刀上沿刀軸線相鄰兩齒對應兩點之間的距離等于被加工螺紋的螺距[ 5 ] 。 其次, 還要保障內螺紋銑削刀的外徑小于加工工件螺紋底孔的 80 % 。 最后, 針對螺紋銑刀位軌跡數學模型, 必須要按照公式( 1 ) 進行計算。
( 1 )
螺 紋 銑 刀 位 軌跡數學模型中 α ∈ 【0 , h·2π / P 】, 其中 h 是工件螺紋的 深 度 ; P 為工件螺紋的螺紋距離 ;
xc 、yc 、zc 是 工 件螺紋的位置坐標 ; D 為螺紋銑刀的直徑 ; d 為 工件內螺紋的大徑或者外螺紋的小徑 ; 詛 為 螺紋銑刀的加工余量。
3 . 3 內螺紋銑削走刀步長
在 內 螺 紋 銑 削刀開展實際工作的過程中 , 由 于 不同內螺紋銑削刀的實際工作的 螺旋線存在一定的差異 , 所以必須要通過數控系統 的指令進行插補活動 。由于不同數控系統的指令格式存在一 定 的 差 異 , 所 以在開展數控機床編程的過程中, 必須要對數控機床的各環境進行熟悉。 最大程度上保障數控機床編程的簡單化, 確保內螺紋銑削刀運作的直線 插 補 , 并 且 結 合不同工件處理的要求, 精確的保障內螺紋銑削走刀步長。 內螺紋銑削走刀步長一般是由內螺紋銑削刀運行 軌跡決定的, 內螺紋銑削走刀步長決定著工件制作的實際效率。 若內螺紋銑削走刀步長相 對 較 小 , 那 么 在數控機床執行命令的過程中, 會造成速度波動的速率整體下降, 造成了工件處理表面質量 的 下 降 。 若 內 螺紋銑削走刀步長較大, 那么工件處理 的 過 程 中 , 會 造成刀位數據密度相對較小, 其精確度 相 對 較 小 , 螺 紋表現惡化等多種現象。 所以, 確定內螺紋銑削走刀步長是開展螺紋加工的重要內容[ 6 ] 。 想 要 控 制 內 螺 紋 銑削 走 刀步長就必須要針對 α 這一銑削走刀步長變量進行控 制 , 以便于保障銑削走刀步長誤差最小 。 當 α 的增量 Δα 很小時, 相鄰兩刀位點之間的曲 線 可 以 近 似為半徑為 r 圓 弧 。 則 誤 差 e 與 允 許 誤 差 E 之 間 的 關 系數學公式為( 2 )
( 2 )
在 ( 2 ) 這一數據公式中 , r 的 實際意義為螺旋的直徑; 其中 E 為工件螺旋加工中最大的誤差值。
4 加工中心內螺紋銑削數控機床編程
想 要 保 障 工 件螺紋銑削的實際效率 , 就 必 須 要 嚴格的結合數控機床的實際性能和實際 工 作 情 況 , 高 效的開展數控機床編程。 例如, 針對工件內螺旋為 M20 ×
1 . 5 進 行 數控機床銑削時 , 已經其工件材料是灰口鑄
鐵 ; 其螺紋底孔直徑 18 . 5mm ; 螺 紋 直 徑 20mm ; 內 螺 紋銑 削 刀 長 度 25mm ; 內 螺 紋 距 離 為 1 . 5mm ; 機 加 螺 紋 銑削刀直徑為 15mm ; 銑削形式為順銑削。 其數 控 機 床 編程的內容為:
O001
N10 G90 G00 G57 X0 . Y0 . ; N20 G43 H20 Z0 . M3 S3185 ;
N30 G91 G00 X0 . Y0 . Z - 25 . 343 ; N40 G41 D60 X0 . Y - 8 . 75 Z0 . ;
N50 G02 X10 . Y8 . 75 Z0 . 343 R8 . 828 F119 ; N60 G02 X0 . Y0 . Z1 . 5 I - 10 . J0 . ;
N70 G02 X - 10 . Y8 . 75 Z0 . 343 R8 . 828 ; N80 G00 G40 X0 . Y - 8 . 75 Z0 . ;
N90 G49 G57 G00 Z150 . M5 ; N100 M30
5 結束語
總而言之, 內螺紋銑削加工是非常復雜且統一的工藝, 涉及到的工藝內容也相對較多。 想要有效的保障內螺紋銑削加工的實際效率, 應該結合工件加工的原材料和實際要求, 統籌內螺紋銑削加工的各個工序。 在不斷的經驗總結和分析當中, 不斷研究新型的內螺紋銑削加工工藝, 促進我國加工工藝的不斷發展與進步。
2024-11
本文以組合式六角亭模型為實例,分析工藝難點與加工可行性,指出該模型的加工難點是模型形狀不規則和整體剛性差,并通過設計新的工藝方案解決加工難點,完成了模型整體的加工。新的加工工藝有助于提高加工效率和精度,為五軸數控加工提供了一個典型案例,對于五軸加工中心數控加工也具有指導作用和重要… [了解更多]
2024-11
宇匠數控 備注:為保證文章的完整度,本文核心內容由PDF格式顯示,如未有顯示請刷新或轉換瀏覽器嘗試,手機瀏覽可能無法正常使用!本文摘要:通過對混聯五軸加工中心自適應深度學習控制方法的 研 究,可 知 此 方 法 的 創 新 之 處 在 于:1)建 立 了 機 床 的 運 動 學 … [了解更多]
2024-11
在機測量技術由于其成本低、檢測效率高、無需二次裝夾等優勢被廣泛用于零件加工測量當中,使得五軸加工中心和五軸鉆攻中心,同時又兼具測量功能。在機測量系統的構成如圖1所示,硬件部分主要是由高精度探頭、信號接收器、機床整個本體,軟件部分由機床控制系統、測量軟件等組成[8]。待零件加工完成… [了解更多]
2024-11
?加工精度是影響機床性能和產品質量的主要難題,也是制約國家精密制造能力的重要因素。本文以五軸加工中心為對象,針對提升機床精度進行了研究。并且隨著科技的發展,精密的儀器和零件在生產實踐中占據的分量逐漸增加,在數控機床這種精密機器精度不斷提高的同時,必須控制內外界環境的隨機影響因素在… [了解更多]