本文重點探討了數控車削球面時, 刀尖安裝高度偏差產生的加工誤差。理論分析表明: 刀尖安裝高度偏差不僅會造成球面徑向尺寸誤差, 同時還會引起球面的形狀誤差。
1.刀尖高度偏差對球面徑向尺寸誤差的影響。
數控車削零件之前, 通常先對刀確定工件坐標系原點在機床坐標系中的位置, 一般采用試切法。具體做法: 首先在零件端部試切一小段直徑為 2X0 的圓柱( 如圖 2) , 然后根據測量值, 就可確定工件坐標系原點在機床坐標系中 X向的位置。此時若刀尖與工件回轉中心線等高, 則對刀后確定的工件坐標系原點應在工件回轉中心線上, 但實際安裝時, 如果刀尖存在高度偏差 e, 則試切對刀后, 得到的工件坐標系原點相對工件回轉中心線在 X 向向內偏離 δ(如圖 3)。此種情況下若零件某截面直徑尺寸為2X0, 車削時為保證該段尺寸符合要求, 那么車刀刀尖在 X 軸上的實際坐標為 X0–δ 。若在任一軸向位置時, 工件要求加工的直徑尺寸為 2X, 則車刀刀尖 X 向實際坐標為 X–δ , 根據以上分析有:

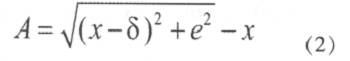
由此可知, 在加工零件任意截面, 車削后半徑的實際尺寸與理想尺寸差值 A為:

由公式 ( 1)、 ( 2) 可知, 當存在刀尖安裝高度偏差 e 時, 車削后零件截面半徑 (直徑) 實際尺寸與理想尺寸存在誤差值 A。下面分析徑向尺寸誤差的變化規律。
( 1) 截面直徑大小對誤差值的影響。
假定刀尖高度偏差 e=1mm, 對刀測量直徑值為 30mm (半徑 15 mm) , 則車刀刀尖在 X 向向內偏離 δ =0.033 mm, 由公式 ( 1) 、 ( 2) 可以得到半徑 x值與誤差值 A的對應關系 (見表 1) , 由表1 可以看出, 當零件截面半徑 x 小于對刀尺寸時,實際加工尺寸偏大, 且半徑 x 越小,誤差值 A 越大; 當零件截面半徑 x大于對刀尺寸時,實際加工尺寸偏小,且半徑越大,誤差值 A絕對值越大, 當零件截面半徑 x 等于對刀尺寸時誤差值 A 為零, 即實際尺寸相等。 (表 1 半徑 x 與差值 A 的對應關系表)
( 2) 刀尖安裝高度偏差 e 對誤差值 A 的影響。
仍以對刀測量直徑 30mm為例, 假定高度差 e=2 mm, 則車刀刀尖在 X向向內偏離 δ =0.mm; e=3 mm, 刀尖在 X向向內偏離 δ =0.303m由公式 ( 1)、 ( 2) 可以得到高度偏差 e 值與誤值 A的對應關系 (見表 2)。
由表 2 可以看出, 隨高度偏差 e 值的增徑向誤差 A 的絕值也隨之增大。零件截面半徑小對刀尺寸時,實際工尺寸仍然偏大半徑越小,徑向誤值越大; 當截面徑大于對刀尺寸實際加工尺寸仍然偏小,且半徑越大, 徑向誤差的絕對值越大。當零件截面半徑等于對刀測量徑時徑向尺寸誤差為零。
2. 刀尖高度偏差對球面形狀誤差的影響。
如圖 4 所示, 車削球面時, 當存在刀尖高偏差 e, 則車刀實際運動軌跡為圓弧 EA。弧位于高度 e 和 XOZ面平行的平面上, 半徑為圓心坐標為 ( -δ , e, - a/2) 其中 a 為球面軸向度。設 M為圓弧 EA上任一點,

e, Z0。車削后零件在 XOZ平面上的相應曲線為 CB。根據車削原理, 在曲線 CB 上任意點 N是由圓弧 EA上相應點 M繞 Z軸旋轉得到的。如B是由 A繞 Z軸旋轉得到的, C是由 E 繞 Z軸旋轉得到的。故圖 4 中加工出來的曲線 CB 部分的實際軌跡方程為

顯然, 弧 CB 部分的實際軌跡不是圓弧。由圖 5 的一組標注尺寸也可以看出實際加工出的曲線弧 CB 上各點到球面中心 O2 的距離不是定值(以圖 1 為例), 因此弧 CB為非圓弧曲線, 也即車削后的零件不是標準球面, 其形狀存在誤差。
3. 結論
基于以上分析可以看出, 數控車削球面時, 若存在刀尖安裝高度偏差 e 不僅會引起球面徑向尺寸誤差, 還會造成球面形狀誤差。因此數控車削球面零件 ( 如球閥閥芯)時,為了保證零件較高的形位精度,必須嚴格控制刀尖安裝中心高偏差 e, 使其值接近或為零??刂频都獍惭b高度偏差的措施:
1) 盡量采用標準化車刀或專門刃磨后的車刀,如刀尖等高的方刀體不重磨車刀等; 還可采用具有一系列厚度、硬度及平行的標準墊片或斜面錯齒可調墊塊進行調整。
2) 通過確定刀尖安裝中心高偏差的方法, 反復進行試車削、測量、計算及調整過程, 直至其刀尖中心高偏差 e 接近或為零。確定刀尖安裝中心高偏差 e 值的方法: 先車一外圓柱表面測量其軸徑 Db, 然后在 X 坐標軸方向進給一個設定的半徑差△r,再車一次外圓并測量其軸徑 Da (如圖 6) ,如果測得的 Da 為, Da=Db- 2△r, 則說明刀尖與工件回轉軸心線等高, 即 e=0; 如果測得的 Da 不等于 Db- 2△r, 則說明存在安裝中心高偏差, 該偏差 e 可由式 ( 4) 計算得到:

由于車削加工球面零件的精度還受到其它因素的影響, 如刀具磨損、加工溫度、數控車床的精度等方面的影響。因此實際應用中要全面而綜合考慮各因素對其加工精度的影響。


本文由 伯特利數控文章 整理發表,文章來自網絡僅參考學習,本站不承擔任何法律責任。
2024-11
本文以組合式六角亭模型為實例,分析工藝難點與加工可行性,指出該模型的加工難點是模型形狀不規則和整體剛性差,并通過設計新的工藝方案解決加工難點,完成了模型整體的加工。新的加工工藝有助于提高加工效率和精度,為五軸數控加工提供了一個典型案例,對于五軸加工中心數控加工也具有指導作用和重要… [了解更多]
2024-11
宇匠數控 備注:為保證文章的完整度,本文核心內容由PDF格式顯示,如未有顯示請刷新或轉換瀏覽器嘗試,手機瀏覽可能無法正常使用!本文摘要:通過對混聯五軸加工中心自適應深度學習控制方法的 研 究,可 知 此 方 法 的 創 新 之 處 在 于:1)建 立 了 機 床 的 運 動 學 … [了解更多]
2024-11
宇匠數控 備注:為保證文章的完整度,本文核心內容由PDF格式顯示,如未有顯示請刷新或轉換瀏覽器嘗試,手機瀏覽可能無法正常使用!本文摘要:1)本文建立了基于轉角向量和雙弦弓高的局部能量光順算法,該方法以刀心點光順前后最大許用偏移量作為約束,通過計算拐角處微小線段局部能量最優解,可使… [了解更多]
2024-11
在機測量技術由于其成本低、檢測效率高、無需二次裝夾等優勢被廣泛用于零件加工測量當中,使得五軸加工中心和五軸鉆攻中心,同時又兼具測量功能。在機測量系統的構成如圖1所示,硬件部分主要是由高精度探頭、信號接收器、機床整個本體,軟件部分由機床控制系統、測量軟件等組成[8]。待零件加工完成… [了解更多]